
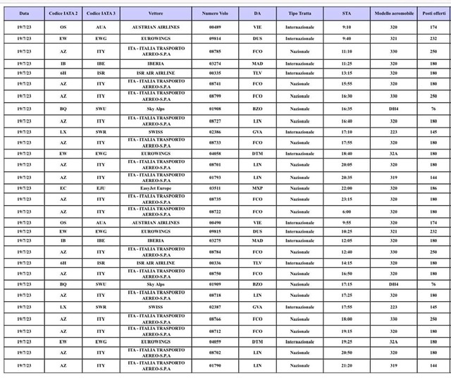
31 arrivi e partenze e’ il numero di voli che gestirà quest’oggi Palermo provenienti da Catania, che opera a ritmo ridotto a 2 movimenti/ ora a causa dell’incendio che ha colpito il terminal 1 nella serata di domenica.
La parte del leone e’ di ITA Airways con 16 voli da Milano Linate e Roma Fiumicino , da quest’ultima anche con A330/200.
A seguire Eurowings , Austrian , Swiss, easyJet, SkyAlps e Iberia.